近日,我校水利建筑工程學院楊廣教授團隊在干旱綠洲灌區水資源優化配置方面取得重要研究進展,成果以“Metaheuristic optimization of water resources: A case study of the Manas River irrigation district”(基于啟發式智能優化算法下瑪納斯河灌區水資源優化配置研究)在水文學領域國際頂尖期刊Journal of Hydrology上發表(中科院1區,IF=5.9,TOP期刊)。

Schematic of the distribution of three subirrigation districts in the Manas River irrigation district

Behaviors of beluga whales, (a) swim, corresponding to exploration phase; (b) foraging, corresponding to exploitation phase, (c) whale fall, for whale fall phase.

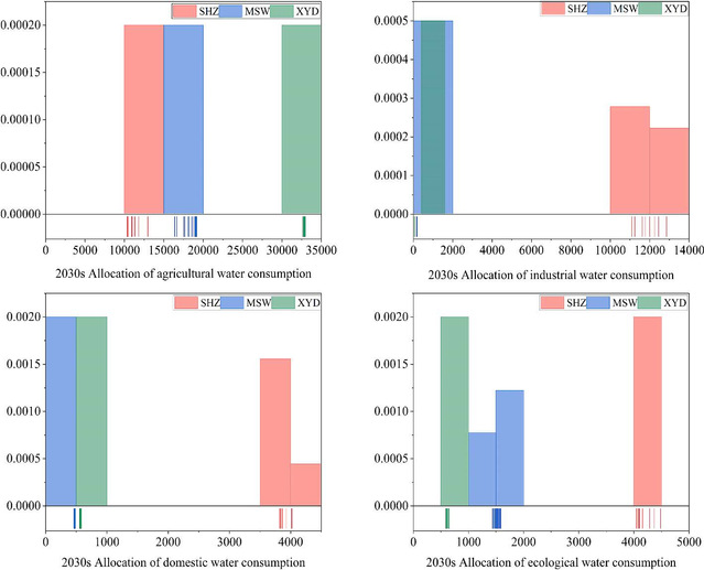
Water distribution for various sectors in the Manas River irrigation district in 2030
隨著人類活動的增強,綠洲規模的擴大及城市化進程的加快,社會發展對水資源需求增加,水資源優化配置成為水資源可持續利用的根本保證。本研究通過構建水資源總量約束條件下以經濟效益、社會效益和生態效益為目標的水資源優化配置模型,結合多目標白鯨優化算法進行模型求解,利用多目標模糊優選模型從可行方案中選出最優方案,為促進灌區水資源高效分配,緩解水資源短缺提供保障。研究結果表明:(1)運用多目標白鯨優化算法求解各子灌區灌溉水資源的多目標優化配置模型,得到的解集均滿足灌區三條紅線用水總量指標范圍;(2)以2030年石河子灌區預測為例,采用二元比較法確定各目標權重為(0.43,0.35,0.22),采用多目標模糊優選模型對解集進行篩選,確定優屬度最大(=0.999)的方案為最優方案;(3)在此情景下優化得出石河子灌區2030年最優方案實現的經濟目標、社會和生態目標,實現了灌區規劃年水資源優化配置,為干旱綠洲灌區水資源合理開發利用提供依據。
本文的第一作者為水利建筑工程學院2021級碩士研究生潘月和2022級博士研究生田浩,通訊作者為水利建筑工程學院楊廣教授。近年來,該團隊圍繞變化環境下流域尺度水循環過程、生態水文耦合模擬和水資源優化配置等方面開展研究,研究成果發表在Science of The Total Environment、Soil & Tillage Research、Agricultural Water Management和Journal of Hydrology等TOP期刊以及《農業工程學報》、《干旱區研究》等中文核心期刊,相關研究得到了國家自然科學基金、天山英才和兵團英才等項目的資助。
(通訊員:楊廣 郜建銳 鞏芮君)
